• 党代会专题
    • |
    • 挑战杯专题
    • |
    • 电子邮箱
    • |
    • 信息公开
    • |
    • 捐赠
    • |
    • 网上办事服务大厅
    • |
    • OA
    • |
    • English
    • 党代会专题
    • |
    • 挑战杯专题
    • |
    • 电子邮箱
    • |
    • 信息公开
    • |
    • 捐赠
    • |
    • 网上办事服务大厅
    • |
    • OA
    • |
    • English

    科技动态

    陈力军教授课题组在量子直接通信领域取得重要进展

    发布时间:2017-04-20 点击次数: 作者:科学技术处 来源:新闻中心

    最近,凯发k8官网计算机科学与技术系陈力军教授带领的量子通信研究团队在量子直接通信领域取得重要进展,研究成果发表在Scientific Reports期刊上(D. Jiang, Y. Y. Chen, X. M. Gu, L. Xie, L. J. Chen. Deterministic secure quantum communication using a single d-level system. Scientific Reports 7, 44934 2017)。

    量子通信(Quantum Communication)基于量子力学海森堡不确定性原理和量子不可克隆定理,以量子态为信息载体,可以在通信双方之间实现无条件安全的通信。自1984年Bennett和Brassard提出第一个量子通信协议以来,量子通信技术发展迅猛并受到世界各国学术界、企业界和政府部门的高度重视,成为研究的热点以及关乎国家安全的新兴产业。现有量子通信协议中应用最广的是量子密钥分发(Quantum Key Distribution),该技术可无条件安全的在通信双方分发密钥以加密、解密信息。但密钥分发过程中通信双方对基会造成大量光子的浪费,因而此类协议一直饱受低效问题的困扰。虽然有很多研究组试图通过不同方法提升量子密钥分发效率,但效果非常有限。

    为解决量子密钥分发低效问题,2000年量子直接通信(Quantum Direct Communication)被提出。和量子密钥分发不同,量子直接通信可直接将信息编码到量子态中进行通信,它无需在通信双方分发密钥,避免了光子被浪费的问题,因此近年来受到广泛关注。研究团队基于成组传输和光子重排技术,使用高维单光子作为信息载体,提出一种确定性安全量子通信(Deterministic Secure Quantum Communication)协议。其中成组传输和光子重排技术保证了信号前向和后向传输的安全性。使用高维量子系统使协议实现了更高的安全检测效率和信息传输效率。

    图1. 协议执行流程图

    图2. (a) 安全检测效率和维度之间的关系, (b) 传输效率和维度之间的关系,

    (c) 传输效率和维度以及用于安全检测光子比例之间的关系

    因该类协议需将光子在合法用户间来回传输两次,攻击者Eve可以在Alice发送向Bob的合法信号后插入一个间谍光子,当Bob将信息编码到信号中并发送回Alice时,Eve截取间谍光子,对其测量可以获得Bob编码的信息,这种攻击策略称为量子木马攻击(Trojan Horse Attack)。因间谍光子不会对合法信号造成任何影响,因此Eve可以在不留下任何痕迹的情况下窃取Bob的信息。为防御这种攻击,Bob可以随机选取部分信号,用分束器对其分束然后对两个信号进行测量。如果系统受到Eve的攻击,则多光子率势必会增高,因此可以通过计算多光子率来判断系统是否受到攻击。

    图3. (a) 量子木马攻击策略, (b) 量子木马防御策略

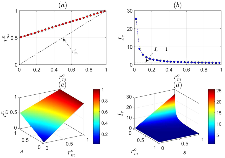
    虽然已有相应的攻击和防御策略,但并没有相关工作深入研究攻击和多光子率之间的关系。针对此问题研究团队对量子木马攻击建模并得到如下结论:1、若攻击者在每个合法信号后插入间谍光子,会显著增加多光子率; 2、即使攻击者只在很少一部分合法信号后插入间谍光子,只要光源的原始多光子率足够低,也会显著提升多光子率。比如原始多光子率为5%,攻击者插入间谍光子的概率仅为10%,攻击后多光子率仍增长了95%。因此用户可以探测到Eve的攻击,这为量子木马攻击的防御奠定了理论基础。

    图4. (a) 攻击后多光子率和原始多光子率的关系,(b) 多光子率增长率和原始多光子率之间的关系,(c) 攻击后多光子率和原始多光子率以及插入间谍光子概率的关系,(d) 多光子率增长率和原始多光子率以及插入间谍光子概率的关系

    提出的协议不仅更安全、更高效而且易于实现。研究团队仅使用延时光纤即为协议设计了可行的部署方案,证明以现有的技术条件完全可以实施该协议。

    图5. 基于延时光纤的协议部署方案

    该研究工作得到了国家自然科学基金重大项目(No. 11690030,11690032)和国家自然科学基金面上项目(No.61272418)的资助。

    (计算机科学与技术系 科学技术处)